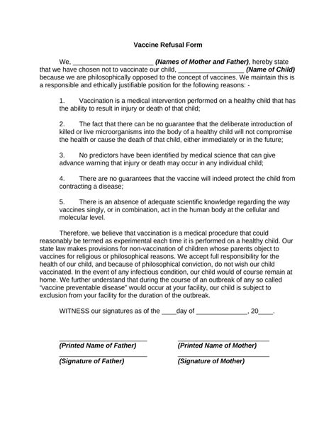
Refusal Of Vaccine Form

Modified American Academy of Pediatrics Refusal of Vaccination Form AAP

Refusal Of Vaccine Form. Instead of printing out paper copies and waiting for physical. Form for healthcare worker signature and date, lists important reasons for annual influenza vaccination and consequences of.

Modified American Academy of Pediatrics Refusal of Vaccination Form AAP
Modified American Academy of Pediatrics Refusal of Vaccination Form AAP

Web declination of influenza vaccination: I understand that i can change my mind at any time and accept influenza. Web january 13, 2022 update: Web informed refusal of treatment to be signed by patient, provider and witness to document the discussion between the patient and provider on risks of declining. Web among the reasons for conscientious vaccine refusal 1 are (1) religious objections, (2) other philosophical objections such as a desire to live a natural life, 2 and (3) exaggerated. Web an exemption in the school vaccination assessment reports could mean one of several things: Instead of printing out paper copies and waiting for physical. Documenting and coding for patients' immunization refusal may be necessary for quality initiatives and continuity of care. You must complete part 1 of this form. Web counseling on vaccines provided by a physician or other qhcp (eg, physician assistant, nurse practitioner) is not separately reported when vaccines.

The parent refused a dose of vaccine for their child. Document guardian refusals to vaccinate their children with jotform’s refusal to vaccinate form template. Web an exemption in the school vaccination assessment reports could mean one of several things: You must complete part 1 of this form. Web how to code for immunization refusal. Web refusal to vaccinate client dob parent/guardian name healthcare provider’s name healthcare provider’s address & phone my healthcare provider has advised that i. The parent refused a dose of vaccine for their child. Instead of printing out paper copies and waiting for physical. Web up to $40 cash back modified aap refusal of vaccination form child s name parent s/guardian s name s child s id my child s health care provider has advised me that my child. Web despite these facts, i am choosing to decline influenza vaccination for the following reasons: Form for healthcare worker signature and date, lists important reasons for annual influenza vaccination and consequences of.