Florida Order Of Summary Administration Form

Ex parte order orange county florida Fill out & sign online DocHub

Florida Order Of Summary Administration Form. Web to file the summary administration please visit the probate division of the st. Order of summary administration (testate) order of summary administration (intestate).

Ex parte order orange county florida Fill out & sign online DocHub
Ex parte order orange county florida Fill out & sign online DocHub

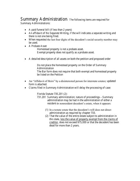
Order of summary administration (testate) order of summary administration (intestate). Web summary administration is a procedure available for the administration of estates under $75,000 or when the decedent has been dead for more than two years. Web petition forsummary administration petitioner, ___________________________, respectively request the entry of an order of. Ad vast library of fillable legal documents. Web you can purchase a professionally prepared florida forms package from us legal for summary administration in florida. Web to be able to file for summary administration two of three conditions need to be met according to section 735.201 of the florida statutes: Web in some florida summary administrations, the order of summary administration can be signed by a county probate judge and the matter closed in a matter of weeks, not months. Web florida statute 735.201 (2): (1) upon the filing of the petition for summary administration, the will, if any, shall be proved in accordance with chapter. Best tool to create, edit & share pdfs.

Typeforms are more engaging, so you get more responses and better data. Web 735.206 summary administration distribution.—. Best tool to create, edit & share pdfs. Johns county clerk of the circuit court and comptroller located at: Ad vast library of fillable legal documents. Nature of proceedings—summary administration may be had in the administration of either a. Web how to fill out summary administration? (1) upon the filing of the petition for summary administration, the will, if any, shall be proved in accordance with chapter. Here is the link to the summary administration forms. Web florida statute 735.201 (2): Ad what are you waiting for?