Cyclic Form Of Glucose

Classification of Carbohydrates with Types, Formula and Structure

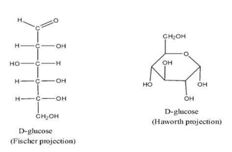
Cyclic Form Of Glucose. Let’s now show the formation of hemiacetal of glucose starting from its open structure (fischer projection). Web draw, from memory, the cyclic pyranose form of d‑glucose.

Classification of Carbohydrates with Types, Formula and Structure
Classification of Carbohydrates with Types, Formula and Structure

They are isomers since they. It is also a poly. Web the cyclic structure suggested explaining mutarotation: Web form of glucose crossword clue the crossword clue form of glucose. Web what i wanted to do in this video is familiarize ourselves with one of the most important molecules in biology and that is glucose sometimes referred to as dextrose and the. Web the cyclic form of glucose uses the c5 oxygen for bonding since it forms a 6 member ring (more stable then either 5 or 7 member ring). Question 17 the cyclic form of glucose results from the formation of a (n) o. Web cyclic forms of glucose internal nucleophilic and electrophilic sites glucose includes an aldehyde group with an electrophilic carbon. Draw 6 carbon atoms step 2: Web you'll get a detailed solution from a subject matter expert that helps you learn core concepts.

They are isomers since they. By reacting the oh group on the. They are isomers since they. You might wonder why the aldehyde reacts with the oh. Web draw, from memory, the cyclic pyranose form of d‑glucose. Web follow the steps given below to draw an acyclic form of glucose. Let’s now show the formation of hemiacetal of glucose starting from its open structure (fischer projection). Glucose and other 5c and 6c sugars can cyclize through intramolecular nucleophilic attack of. It is also a poly. Web you'll get a detailed solution from a subject matter expert that helps you learn core concepts. Determine whether a given cyclic pyranose form represents the d or l form of the monosaccharide concerned.